Example outputs
These examples illustrate the kinds of results AGNI can produce. You can find Jupyter notebooks which reproduce these results in the tutorials directory of the repository.
Pure steam runaway greenhouse effect
By assuming the atmosphere temperature profile follows a dry adiabat and the water vapour-condensate coexistence curve defined by the Clausius-Clapeyron relation, we see a characteristic relationship between the outgoing longwave radiation (OLR) and the surface temperature ($T_s$). Initially OLR increases with $T_s$, but as the condensing layer (which is independent of $T_s$) overlaps with the photosphere, OLR and $T_s$ decouple. Eventually the atmosphere reaches a dry post-runaway state, and OLR increases rapidly with $T_s$.

Prescribed convective case
In this case, a temperature profile is prescribed to follow a dry adiabat from the surface to a moist region, and then a pseudoadiabat to the top of the atmosphere. This is in line with previous works and the OLR curve above.

Radiative fluxes are then calculated according to this temperature profile. Because the profile is prescribed, the fluxes are not balanced locally or globally across the column.

Radiative-convective solution
Instead, we can model an atmosphere such that energy is globally and locally conserved. Convection is parameterised using mixing length theory in this case, allowing the system to be solved using a Newton-Raphson method. In the convective region at ~0.1 bar, we can see that the radiative fluxes and convective fluxes entirely cancel, because AGNI was asked to solve for a case with zero total flux transport.


We can also plot the outgoing emission spectrum and normalised longwave contribution function (CF). The spectrum clearly demonstrates complex water absorption features, and exceeds blackbody emission at shorter wavelengths due to Rayleigh scattering. The CF quantifies how much each pressure level contributes to the outgoing emission spectrum at a given wavelength – this is then plotted versus wavelength and pressure.

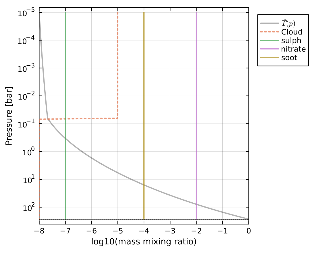
Aerosol radiative properties
AGNI incorporates the radiative effects of aerosols and clouds in the atmosphere. The model supports arbitrary aerosol types, based on Mie theory. Pre-computed aerosol types include soot, ash, sulfate, and nitrate particles.
In the example below, an atmosphere is configured with three aerosol species at different concentrations. The configuration file is located at res/config/physics/aerosols.toml
The plot below shows the enforced mixing ratio profiles of the aerosols. Water is plotted with a dotted line because its ratiative effects are disabled in this example. 
Aerosols modify both shortwave and longwave radiative transfer. The flux profiles below show how aerosols alter the vertical distribution of radiative heating and cooling. Importantly, the shortwave stellar radiation is largely reflected and attenuated at low pressures.

The emission spectrum highlights the fingerprint of the aerosols. The plot shows a distinct shortwave contribution (blue line) due to back-scattering from the aerosols specifically, with some identifiable features.
